I have no doubt ISRO team will make it happen one day: Bhutan PM tweets on Chandrayaan 2
Sep 07, 2019, at 09:21 am
New Delhi, Sept 7 (IBNS): Just hours after communication with the Chandrayaan 2 lander was lost, Bhutanese PM Lotay Tshering on Saturday came out to encourage Indian scientists and said the country will achieve the mission one day.
Country will witness a brighter tomorrow: Modi
Sep 07, 2019, at 09:06 am
Bangalore, Sept 7 (IBNS): Hours after communication with the Chandrayaan 2 lander was lost, Indian PM Narendra Modi on Saturday morning addressed the scientists involved with the mission and said the country will witness a 'brighter tomorrow'.
PM Modi reaches Bengaluru to witness Chandrayaan 2's soft landing on moon
Sep 06, 2019, at 11:40 pm
Bengaluru, Sept 6 (IBNS): Prime Minister Narendra Modi reached Bengaluru on Friday to witness India scripting history from the ISRO headquarters with Chandrayaan 2 making a soft landing on the moon's south pole.
Buddhadeb Bhattacharya hospitalised with acute respiratory problem
Sep 06, 2019, at 09:49 pm
Kolkata, Sep 06 (UNI): Former West Bengal Chief Minister Buddhadeb Bhattacharya was admitted in a private hospital in South Kolkata on Friday with acute respiratory problem.
Cong leaders couldn't meet Chidambaram in Tihar as visiting hours were over
Sep 06, 2019, at 07:12 pm
New Delhi, Sep 6 (UNI) As former Union Minister P Chidambaram spent a second day in judicial custody, a group of Congress leaders on Friday, were not permitted to meet him in Tihar jail.
Teacher thrown from running train, dies
Sep 06, 2019, at 05:58 pm
Nawada, Sep 6 (UNI) Unidentified criminals threw a teacher from a running train resulting in his death when the latter resisted their loot bid near Wazirganj on Kiul-Gaya section of East Central railway in the district late last night.
Pollution sees dramatic fall in Delhi: Arvind Kejriwal
Sep 06, 2019, at 05:51 pm
New Delhi, Sep 6 (UNI) Chief Minister Arvind Kejriwal on Friday said the National Capital has seen a dramatic fall in pollution by 25 per cent.
Fire breaks out at New Delhi Railway station in Kerala bound train, no casualty
Sep 06, 2019, at 05:41 pm
New Delhi, Sep 6 (UNI) A fire broke out in rear power car of Kerala bound 12218 Chandigarh Kochuvalli Express at New Delhi Railway at Platform number 8 on Friday.
Uttar Pradesh: IAS officer booked for wife's murder
Sep 06, 2019, at 05:32 pm
Lucknow, Sep 6 (UNI) Senior Indian Administrative Services (IAS) officer and Director of State Urban Development Authority (SUDA) Umesh Pratap Singh has been booked on charges of murdering his wife.
Puducherry: Man attempts to commit suicide
Sep 06, 2019, at 05:28 pm
Puducherry, Sep 6 (UNI) Tension prevailed as a man attempted to commit suicide in front of the office of the Director General of Police here on Friday.
Delhi Police files sedition case against Shehla Rashid
Sep 06, 2019, at 05:11 pm
New Delhi, Sep 6 (UNI) The Delhi Police on Friday filed a case of sedition against Jawaharlal Nehru University (JNU) alumnus and Kashmiri leader Shehla Rashid for allegedly making false statements against the Indian army.
Sep 06, 2019, at 04:48 pm
New Delhi, Sept 6 (IBNS): Vice President of India M Venkaiah Naidu expressed concern over the prevalence of social evils and asked people to play a proactive role to eradicate instances of social evils like untouchability and gender discrimination.
Pakistan will never leave its Kashmiri brethren alone : Army Chief Bajwa
Sep 06, 2019, at 04:42 pm
Islamabad: Pakistan's Army Chief once again tried to raise the Kashmir issue, which has been a point of sour between warring neighbours India and Pakistan, saying his nation will never leave its Kashmiri brethren and their cause alone and will keep fighting for them.
Turkish duo arrested in Mumbai for 46 ATM frauds in Guwahati
Sep 06, 2019, at 03:42 pm
Guwahati: The Assam police, with the help of Mumbai police, have arrested two key members of an ATM hacker gang from a hotel Colaba area in Mumbai.
President of India Ram Nath Kovind graces Swachh Mahotsav 2019
Sep 06, 2019, at 03:31 pm
New Delhi, Sept 6 (IBNS): President of India Ram Nath Kovind graced and addressed the Swachh Mahotsav 2019, a function held at Vigyan Bhavan in New Delhi on Friday, organised by the Union Ministry of Jal Shakti.
PM Narendra Modi to witness the final descent of Chandrayaan 2
Sep 06, 2019, at 03:23 pm
New Delhi, Sept 6 (IBNS): Prime Minister Narendra Modi will be visiting the ISRO Headquarters at Bengaluru to witness the final descent of Chandrayaan 2 on to the Lunar South Pole on Sept 7.
PM Modi to visit Aurangabad tomorrow
Sep 06, 2019, at 01:15 pm
Aurangabad: Prime Minister Modi will visit Aurangabad on Saturday for the inauguration ceremony of Aurangabad Industrial City (AURIC) and address the Woman Self Help Group (SHG) rural police superintendent Moksha Patil said here.
Arrest warrant issued against SP leader Azam Khan in 3 more cases in Rampur
Sep 06, 2019, at 01:10 pm
Rampur: Noose has been tightened on Samajwadi Party leader and Rampur MP Mohammad Azam Khan, as more arrest warrants have been issued against him in three cases including the one filed after he made derogatory remarks against Bollywood actor Jaya Prada.
AAP leader Alka Lamba resigns, cites party's 'arrogance'
Sep 06, 2019, at 01:06 pm
New Delhi: In a jolt to the Aam Aadmi Party (AAP) ahead of the assembly polls next year, Delhi MLA Alka Lamba resigned from her party membership citing "arrogance" of some of her colleagues.
Expelled BJP MLA Kuldeep Sengar tried to kill me: Unnao rape victim
Sep 06, 2019, at 12:03 pm
New Delhi: The victim in the Unnao rape case has recently said accused expelled Bharatiya Janata Party (BJP) MLA Kuldeep Sengar had tried to kill her through the car-truck crash, which took place in July, media reports said.
Rajnath Singh calls for collective international action to counter terrorism
Sep 06, 2019, at 09:05 am
New Delhi, Sept 6 (IBNS): Indian Defence Minister Rajnath Singh has called for a collective international action to check perpetrators of terrorism and advocated strong measures against those who support and finance terrorism and provide sanctuary to terrorists.
Heavy rain lashes Vizag city in Andhra Pradesh
Sep 05, 2019, at 10:57 pm
Visakhapatnam, Sep 5 (UNI) Moderate to heavy rain lashed several parts of Visakhapatnam on Thursday.
Vice President asks Indian diaspora to effectively counter false narrative about India
Sep 05, 2019, at 09:45 pm
New Delhi, Sept 5 (IBNS): Vice President M. Venkaiah Naidu has called upon the Indian diaspora to effectively counter false propaganda and negative narrative about India, particularly in the wake of the recent reorganization of Jammu and Kashmir State.
Sep 05, 2019, at 09:02 pm
New Delhi, Sept 5 (IBNS): President Ram Nath Kovind presented National Awards to meritorious teachers from across the country at a function held at Vigyan Bhavan in New Delhi Thursday on the occasion of Teachers’ Day and urged them to motivate students to tackle present challenges such as climate change, pollution, melting glaciers etc.
Declared foreigners' names appear in final NRC, two cases registered against Hajela
Sep 05, 2019, at 08:42 pm
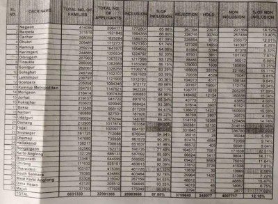
Guwahati, Sept 4 (IBNS): While the ruling BJP and several other organisations alleged that a large number of illegal foreigners' names figured in the final National Register of Citizens (NRC), which was published on Aug 31 that left out more than 19 lakh people, a sensational incident has come to light in Morigaon district, where declared foreigners' names were included in the list.
PM Modi departs for Delhi, thanks Putin for his hospitality
Sep 05, 2019, at 08:07 pm
New Delhi, Sept 5 (IBNS): Prime Minister Narendra Modi on Thursday departed for Delhi, signing off his two-day visit to Far East Russia where he attended a bilateral meeting with Russian President Vladimir Putin and also addressed the Eastern Economic Forum.
INX Media case: Chidambaram gets 14-day judicial custody, will go to Tihar jail
Sep 05, 2019, at 06:23 pm
New Delhi: Former Union Finance and Home Minister P Chidambaram will go to Tihar jail as a special Central Bureau of Investigation (CBI) court on Thursday ordered a 14-day judicial custody of the senior politician in the INX Media case, media reports said.
85 per cent people of a Hindu Bengali village not listed in final Assam NRC
Sep 05, 2019, at 03:48 pm
Guwahati: The people of Barguri village – a Hindu Bengali community dominated village under Behali assembly constituency in Assam’s Biswanath district- are now spending sleepless night after names of more than 85 per cent people of the village did not figure in the final National Register of Citizens (NRC), which was published on August 31.
P Chidambaram, son Karti granted anticipatory bail in Aircel-Maxis case
Sep 05, 2019, at 03:43 pm
New Delhi: After a series of setbacks in the INX Media case, former Union Finance and Home Minister P Chidambaram and his son Karti was on Thursday granted anticipatory bail in the Aircel-Maxis case by a special court, media reports said.
India, Japan working together to create a better planet: PM Modi
Sep 05, 2019, at 02:36 pm
Vladivostok: India and Japan are working at the regional and global levels to help "create a better planet", Prime Minister Narendra Modi said on Thursday.
