After RTI, Triple Talaq, now BJP passes UAPA Bill in Rajya Sabha
Aug 02, 2019, at 02:25 pm
New Delhi, Aug 2 (IBNS): Mastering the floor management in the Rajya Sabha where it was in minority in the previous regime, the second Narendra Modi government on Friday passed yet another major bill- the Unlawful Activities (Prevention) Amendment Bill, 2019- close on the heels of clearing the Right To Information (RTI) and Triple Talaq bills in the upper house.
Unnao victim won't be lifted to Delhi, still on life-support
Aug 02, 2019, at 01:43 pm
Lucknow, Aug 2 (IBNS): The teenage girl, who was allegedly raped by expelled Bharatiya Janata Party (BJP) MLA Kuldeep Sengar and met with an accident on last Sunday, will not be lifted to Delhi for treatment, the victim's family told the Supreme Court on Friday, media reports said.
BREAKING: Rajya Sabha passes UAPA bill
Aug 02, 2019, at 01:42 pm
New Delhi, Aug 2 (IBNS): The Rajya Sabha passed the Unlawful Activities (Prevention) Amendment Bill, 2019 on Friday.
Aug 02, 2019, at 01:06 pm
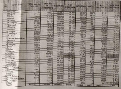
Guwahati, Aug 2 (IBNS): Every third person in Assam’s Hojai district excluded from the draft National Register of Citizens (NRC).
NF Railway introduces special reservation coaches for women passengers
Aug 02, 2019, at 12:59 pm
Guwahati, Aug 2 (IBNS): In a bid to provide better security and safety to women passengers, the Northeast Frontier Railway (NF Railway) has started special reservation coaches for women passengers in few passenger trains.
NDTV's Ravish Kumar wins prestigious Ramon Magsaysay Award
Aug 02, 2019, at 11:45 am
New Delhi, Aug 2 (IBNS): Senior journalist Ravish Kumar, who works for the NDTV, was awarded the prestigious Ramon Magsaysay Award on Friday.
Ceasefire violation by Pakistan along LoC leaves 1 civilian injured
Aug 02, 2019, at 10:43 am
Srinagar, Aug 2 (IBNS): India and Pakistan troops exchanged fire along the Line of Control (LoC) in Nowshera sector of Rajouri district and left one India civilian injured, media reports said.
Aug 02, 2019, at 10:34 am
New Delhi, Aug 2 (IBNS): A day after US President Donald Trump expressed his desire to interevene in the Kashmir issue, India's External Affairs Minister S Jaishankar said he told the US that any discussion on Kashmir would "only be with Pakistan and only bilaterally".
Jammu and Kashmir: Soldier killed, another injured in Shopian militant attack
Aug 02, 2019, at 10:14 am
Srinagar, Aug 2 (UNI) A soldier was killed and another injured when militants attacked a joint security force team during a Cordon and Search Operation (CASO) in south Kashmir district of Shopian in the wee hours of Friday, official sources said.
Jammu and Kashmir: Police arrest one Hizbul Mujahideen terrorist
Aug 02, 2019, at 09:53 am
Srinagar, Aug 2 (IBNS): The police have arrested one Hizbul Mujahideen terrorist from Jammu and Kashmir's Qazipora area on Wednesday, media reports said on Friday.
IED explosion leaves Army vehicle partially damaged in Kashmir, no casualty
Aug 02, 2019, at 09:40 am
Srinagar, Aug 2 (IBNS): An army vehicle suffered partial damages after an IED blast rocked Darbagh village of South Kashmir's Shopian district on Friday morning, media reports said.
US President Donald Trump again offers to mediate on Kashmir
Aug 02, 2019, at 09:05 am
Washington, Aug 2 (IBNS): Just weeks after his comment had triggered a controversy in India, US President Donald Trump has once again offered to mediate the Kashmir issue and described Indian PM Narendra Modi and his Pakistani counterpart Imran Khan as 'fantastic people'.
Parliament finally approves Bill to make India international arbitration hub
Aug 01, 2019, at 11:40 pm
New Delhi, Aug 1 (UNI) With the approval from the Lok Sabha, the much talked about Bill that will help enable India emerge as an international arbitration hub was passed by Parliament on Thursday.
Azam Khan's son detained for obstructing Jauhar University raid
Aug 01, 2019, at 11:30 pm
Lucknow, Aug 1 (IBNS): The police on Thursday detained SP leader Azam Khan's son, who is an MLA, for blocking officials from conducting a raid at Mohammad Ali Jauhar University in Uttar Pradesh's Rampur, media reports said.
IT dept attaches benami shares worth Rs. 254 crore to Kamal Nath’s nephew
Aug 01, 2019, at 10:14 pm
New Delhi, Aug 1 (IBNS): The Income Tax Department on Thursday announced that it has attached benami shares worth Rs 254 crore belonging to Madhya Pradesh Chief Minister Kamal Nath's nephew Ratul Puri, media reports said.
Bill banning Triple Talaq is aimed at securing justice to women: Vice President
Aug 01, 2019, at 09:38 pm
New Delhi, Aug 1 (IBNS): Vice President of India M. Venkaiah Naidu has hailed the Muslim Women (Protection of Rights on Marriage) Bill, 2019, passed in the Rajya Sabha the other day, and said that it was aimed at securing gender rights and justice to women.
Ex-Maldives Prez detained on ship off Indian Coast, MEA says proper travel documents were missing
Aug 01, 2019, at 08:32 pm
New Delhi, Aug 1 (IBNS): Former vice-president of the Maldives Ahmed Adeeb was on Thursday prohibited from entering India by intelligence agency officials off the coast of Tuticorin in Tamil Nadu.
Dacoits loot cash and valuables worth Rs 9 lakh in Ranchi
Aug 01, 2019, at 07:34 pm
Ranchi, Aug 1 (UNI): Five armed dacoits looted cash and valuables worth about Rs 9 lakh from a house located at Mali Tola under Gonda Police Station area of the state capital.
India to evaluate Pakistan's proposal of consular access to Kulbhushan Jadhav
Aug 01, 2019, at 05:18 pm
New Delhi, Aug 1 (IBNS): The Ministry of External Affairs on Thursday said India will evaluate Pakistan's proposal of allowing consular access to Kulbhushan Jadhav, who is in the prison of the neighbouring country on charges of terrorism and spying.
Opposition protests in Lok Sabha against government for rushing through bills
Aug 01, 2019, at 04:15 pm
New Delhi, Aug 1 (UNI): Opposition parties, including Congress, Trinamool Congress and Dravida Munnetra Kazhagam (DMK), protested in Lok Sabha on Thursday saying the government was 'rushing' the bills through and that they cannot be taken for granted.
In field of medical education, NMC Bill is the biggest reform: Harsh Vardhan
Aug 01, 2019, at 04:06 pm
New Delhi, Aug 1 (UNI): Urging all members to pass the National Medical Commission (NMC) Bill, 2019 unanimously, Minister for Health and Family Welfare Harsh Vardhan on Thursday said this legislation would be the biggest reform in the field of medical education.
SC shifts Unnao rape cases out of Yogi Adityanath's UP; 25 lakh compensation for victim
Aug 01, 2019, at 03:23 pm
New Delhi, Aug 1 (IBNS): Taking cognizance of the Unnao rape incident, the Supreme Court on Thursday ordered a shifting of all five cases related to the crime from Uttar Pradesh to Delhi and also ordered the Yogi Adityanath government to pay an interim compensation of Rs. 25 lakh to the victim.
Supreme Court shifts five cases related to Unnao rape out of UP
Aug 01, 2019, at 02:28 pm
New Delhi, Aug 1 (IBNS): The Supreme Court on Thursday shifted the five cases related to the Unnao rape out of Uttar Pradesh, media reports said.
Arvind Kejriwal announces free electricity for Delhi people
Aug 01, 2019, at 01:51 pm
New Delhi, Aug 1 (IBNS): In a major announcement ahead of the Delhi Assembly elections, Chief Minister Arvind Kejriwal on Thursday said people staying in the national capital won't be charged a penny for consuming electricity till 200 units.
BJP expels Unnao rape accused MLA Kuldeep Sengar
Aug 01, 2019, at 12:43 pm
New Delhi, Aug 1 (IBNS): After receiving huge criticisms, the Bharatiya Janata Party (BJP) on Thursday expelled its party MLA Kuldeep Sengar who is an accused in the Unnao rape case, media reports said.
Pakistan re-activates terror launch pads, relocates Masood Azhar brother to PoK: Indian Intelligence
Aug 01, 2019, at 11:49 am
New Delhi: A Pakistan emboldened by the visit of Prime Minister Imran Khan to the United States, has reactivated its terror launch pads against India in the Pakistan Occupied Kashmir (POK) with plans to trigger something big in Kashmir, according to sources in Indian intelligence.
Unnao rape: Supreme Court to transfer all cases out of Uttar Pradesh
Aug 01, 2019, at 11:27 am
New Delhi, Aug 1 (IBNS): In a major embarrassment for the Yogi Adityanath government, the Supreme Court on Thursday decided to move five cases related to the Unnao rape out of Uttar Pradesh, which is ruled by the Bharatiya Janata Party (BJP), media reports said.
After Uber Eats supports Zomato over 'non-Hindu rider' row, #BoycottUberEats trends on Twitter
Aug 01, 2019, at 11:18 am
New Delhi, Aug 1 (IBNS): #BoycottUberEats has started trending on micro-blogging site Twitter after food ordering and delivery platform Uber Eats supported Zomato's reply to the man who had cancelled an order for the rider's religion.
Mamata Banerjee to take part in walk to raise environmental awareness
Aug 01, 2019, at 10:22 am
Kolkata, Aug 1 (UNI): West Bengal Chief Minister Mamata Banerjee will take part in a walk on Thursday to create awareness on environment.
Tripura: BJP wins 98% seats in panchayats
Aug 01, 2019, at 10:15 am
Agartala, Aug 1 (UNI): The counting of ballots of three-tire panchayat poll, which was begun on Wednesday has not yet been completed but the result indicated a landslide victory of the BJP in village panchayat, panchayat samity and Zilla Prasad.
