Assam discloses district-wise non-inclusion data, every third person in Hojai district excluded in NRC
Guwahati, Aug 2 (IBNS): Every third person in Assam’s Hojai district excluded from the draft National Register of Citizens (NRC).
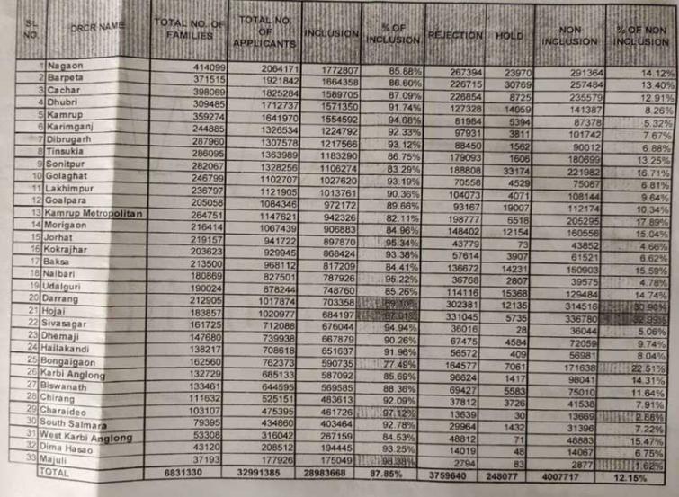
A total of 3,36,780 applicants or 32.99 per cent in Hojai district were excluded from the draft NRC which was published on July 31 last year.
Apart from Hojai district, 30.90 per cent applicants name in Darrang district were excluded from the draft NRC and the data disclosed by the Assam government despite the Supreme Court ‘sealed cover’ order.
The Assam government on Thursday had disclosed publicly the data of the National Register of Citizens (NRC) – a detailed district-wise list of people whose names were excluded in the NRC.
The Assam government had placed the data in the Assam assembly.
The Supreme Court has directed the NRC state coordinator Prateek Hajela not to disclose any NRC related data publicly and the NRC state coordinator had submitted the detailed district-wise list of people whose names were excluded in the NRC in sealed cover before the Supreme Court.
But, the Assam government on Thursday had disclosed all the detailed district-wise data publically.
Assam’s Parliamentary Affairs Minister Chandra Mohan Patowary cited the data in the state Assembly to make a case for fresh verification of the people included in the NRC.
The draft NRC was published on July 31 last year and the final NRC will be published on August 31 next.
According to the data released by the Assam government, the total number of applicants was 3,29,91,385 and out of which 40,07,717 names or 12.15 per cent were excluded from the draft NRC.
The percentage of non-inclusion of names in Bangladesh bordering districts of South Salmara was 7.22, Dhubri 8.26 and Karimganj 7.67.
The Assam minister said that, the rate of exclusion in the Bangladesh bordering districts was less than the state average.
Patowary said that, while 12.15 per cent of the total applicants were excluded from the draft NRC, the non-inclusion figure for the bordering districts of South Salmara, Dhubri and Karimganj was 7.22 per cent, 8.26 per cent and 7.57 per cent respectively.
“However the exclusion rate in districts such as Karbi Anglong (14.31 per cent) and Tinsukia (13.25 per cent) is higher where as the indigenous people are living in these districts,” the Assam minister said.
On the other hand, in the non-border districts, the list showed 32.99 per cent in Hojai, 30.90 per cent in Darrang, 22.51 per cent in Bongaigaon, 17.89 per cent in Kamrup (Metro), 16.71 per cent in Sonitpur, 15.59 per cent in Baksa, 15.47 per cent in West Karbi Anglong, 15.04 per cent in Morigaon, 14.74 per cent in Udalguri, 14.31 per cent Karbi Anglong, 14.12 per cent in Nagaon, 13.40 per cent in Barpeta, 13.25 per cent in Tinsukia, 12.91 per cent in Cachar, 11.64 per cent in Biswanath, 10.34 per cent in Goalpara, 9.74 per cent in Dhemaji, 9.64 per cent applicants name in Lakhimpur district were not included in the draft NRC.
The lowest non-inclusion rate is in Majuli district with 1.62 per cent.
(By Hemanta Kumar Nath, Guwahati)
Support Our Journalism
We cannot do without you.. your contribution supports unbiased journalism
IBNS is not driven by any ism- not wokeism, not racism, not skewed secularism, not hyper right-wing or left liberal ideals, nor by any hardline religious beliefs or hyper nationalism. We want to serve you good old objective news, as they are. We do not judge or preach. We let people decide for themselves. We only try to present factual and well-sourced news.
